近日,Scientia Horticulturae在线发表了williamhill体育中文张超/付建新课题组题为Petunia bZIP transcription factor PhbZIP3 is involved in floral volatile benzenoid/phenylpropanoid biosynthesis through regulating the expression of PhPAL2 and PhBSMT的研究论文。

论文链接:
https://doi.org/10.1016/j.scienta.2023.112719
研究背景
挥发性苯类/苯丙烷类化合物(FVBP)是植物花香成分中最主要的一类化合物之一,多项研究已证实MYB、ERF、GRAS等转录因子参与矮牵牛(Petunia hybrida)FVBP的合成或释放过程,但作为植物中最大转录因子家族之一的bZIP家族,其是否参与FVBP的调控尚不明确。本研究在矮牵牛基因组中鉴定到了77个bZIP成员,通过表达分析及亚细胞定位结果,筛选获得了调控FVBP合成的候选成员PhbZIP3。进一步通过双荧光素酶试验和酵母单杂交试验,验证了PhbZIP3具有激活PhPAL2和PhBSMT基因转录活性的功能,从而促进矮牵牛FVBP的合成。
研究结果
利用
HMMER
和
CDD
工具在矮牵牛基因组中
鉴定到
77
个
bZIP
基因家族成员。
通过
系统进化树
的构建
(图
1
),矮牵牛
bZIP
家族分为
11
个亚族,缺失
J
和
M
亚族
成员
。利用在线软件
MEME
,从
77
个矮牵牛
bZIP
成员
中确定了
10
个最保守的
motif
,同时对所有基因进行结构可视化(图
2
)。

图1 bZIP系统进化分析

图2 矮牵牛bZIP蛋白保守基序及基因结构分析
为进一步了解矮牵牛
bZIP
基因的潜在调控机制,使用
plantCARE
进行了顺式作用元件分析。结果表明,矮牵牛
bZIP
启动子区域存在大量可响应植物激素的顺式作用元件,如
ABRE
、
GARE-motif
和
P-box
、
GARE-motif
和
P-box
,以及应激反应顺式作用元件,如
ARE
、
LTR
和
MBS
。此外,还发现了
G-boxes
和
GT1-motifs
,它们是与光反应调控密切相关的作用元件。在某些矮牵牛
bZIP
成员的启动子中还发现了与昼夜节律的调控密切相关的
circadian
元件(图
3
)。

图3 矮牵牛bZIP基因启动子顺式作用元件分析
3.
筛选与
FVBP
合成相关的
bZIP
成员
基于矮牵牛‘
Mitchell
’开花第
0d
(
D0
)
与
开花第
2d
(
D2
)
花冠转录组
的表达
数据,筛选得到
7
个
可能参与矮牵牛
FVBP
合成
的
PhbZIP
基因
成员
。进一步使用
qRT-PCR
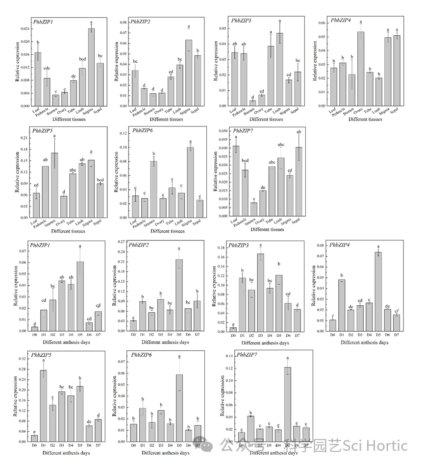
技术检测了它们在不同组织和不同开花过程中的表达水平。结果显示(图
4
),
PhbZIP3
和
PhbZIP5
的表达水平与
矮牵牛
‘
Mitchell
’
FVBP
合成释放规律较为一致。
亚细胞定位结果表明,
PhbZIP3
与核定位蛋白共定位,表明
PhbZIP3
定位于细胞核中;而
PhbZIP5
没有定位在细胞核中,
推测其可能不具备转录因子功能
(图
5
)。

图4 7个候选PhbZIP基因组织特异性表达模式及花发育阶段特异性表达模式

图5 PhbZIP3和PhbZIP5亚细胞定位
为了验证PhbZIP3调控机制,我们分析了矮牵牛FVBP合成通路中代谢基因启动子序列,发现PhPAL1、PhPAL2、PhPAAS、PhBPBT、PhBSMT和PhCFAT基因的启动子上存在bZIP可以结合的元件G-box和ABRE。通过双荧光素酶及酵母单杂交试验表明,PhbZIP3能结合并促进PhPAL2和PhBSMT基因的表达(图6和图7)。

图6 PhbZIP3和FVBP通路关键基因双荧光素酶试验

图7 PhbZIP3和FVBP通路关键基因酵母单杂交试验
矮牵牛基因组中共有
77
个
bZIP
转录因子成员。其中
PhbZIP3
能够结合
FVBP
通路
中关键酶基因
PhPAL2
和
PhBSMT
的启动子并激活其表达,
可能参与
调控矮牵牛
FVBP
的合成
与
释放。
williamhill中国张超副教授为该论文的通讯作者,付建新副教授和风景园林学(农)硕士研究生余果为该论文的共同第一作者,硕士研究生卿洪生
和
柳欣悦参与了本课题的部分工作。该项目得到了国家自然科学基
金(
32002077
)
的资助。
团队或作者(第一或者[和]通讯作者)简介
第一作者:付建新,女,williamhill体育中文副教授,硕士生导师。主要从事园林植物花香代谢及调控研究。
共同第一作者:余果,男,williamhill体育中文硕士研究生。
通讯作者:张超,男,williamhill体育中文副教授,硕士生导师,主要从事园林植物花色花香代谢及调控研究。